ES EN
logo
2026 - Vol. 36. Article e260478

Secondary Victimization Following Sexual Violence: The Role of Personality and Empathy

[La victimización secundaria tras violencia sexual: el papel de la personalidad y la empatía]

Eunice Magalhães1, Ariadne Leite2, Joana Almeida2, Carla Antunes3, Cláudia Camilo1, & 4


1Instituto Universitário de Lisboa (ISCTE), Cis-Iscte, Portugal; 2Instituto Universitário de Lisboa (ISCTE), Portugal; 3HEI-Lab: Digital Human-Environment Interaction Labs., Universidade Lusófona, Centro Universitário do Porto , Portugal; 4Universidade Lusófona, Centro Universitário de Lisboa, Portugal


https://doi.org/10.5093/apj2026a11

Received 6 May 2025, Accepted 13 November 2025

Abstract

Evidence suggests that secondary victimization exacerbates the impact of sexual violence and undermines victim recovery. This study aims to a) provide evidence of the validity and reliability of the Secondary Victimization Scale (SVS) and b) test the mediating role of empathy in the relationship between personality and secondary victimization. A sample of 285 Portuguese adults (aged 18-75, 86% females) completed an online survey. The original three-dimensional structure of the SVS was retained, and appropriate reliability was found – Minimising of Suffering (α = .87), Victim Blaming (α = .89), and Victim Avoidance (α = .85). High SVS scores were associated with greater endorsement of sexual violence beliefs and higher social dominance. Indirect effects of empathy on the relationship between agreeableness, openness to experience, and secondary victimization were also found. The SVS is a valid and reliable measure that enables further cross-cultural studies on secondary victimization. Raising social awareness of sexual violence is critical to protect victims and prevent secondary victimization.

Resumen

Los estudios señalan que la victimización secundaria agrava el impacto de la violencia sexual y mina la recuperación de las víctimas. Este estudio tiene como objetivo a) proporcionar pruebas de la validez y fiabilidad de la Escala de Victimización Secundaria (SVS) y b) examinar el papel mediador de la empatía en la relación entre la personalidad y la victimización secundaria. Una muestra de 285 adultos portugueses (entre 18 y 75 años, 86% mujeres) completaron una encuesta online. Se mantuvo la estructura tridimensional original del SVS y se obtuvo una fiabilidad adecuada: minimización del sufrimiento (α = .87), culpabilización de la víctima (α = .89) y evitación de la víctima (α = .85). Las puntuaciones altas en el SVS se asociaron a una mayor aprobación de las creencias acerca de la violencia sexual y una mayor dominación social. Se hallaron efectos indirectos de la empatía en la relación entre condescendencia, apertura a la experiencia y victimización secundaria. El SVS es una medida válida y fiable que permite realizar más estudios transculturales sobre la victimización secundaria. La concienciación social acerca de la violencia sexual es fundamental para proteger a las víctimas y evitar la victimización secundaria.

Palabras clave

Victimización secundaria, Violencia sexual, Personalidad, Empatía

Keywords

Secondary victimization, Sexual violence, Personality, Empathy

Cite this article as: Magalhães, E., Leite, A., Almeida, J., Antunes, C., & Camilo, C. (2026). Secondary Victimization Following Sexual Violence: The Role of Personality and Empathy. Anuario de Psicología Jurídica, 36, Article e260478. https://doi.org/10.5093/apj2026a11

Correspondence: eunice_magalhaes@iscte-iul.pt (E. Magalhães).

Introduction

Secondary victimization involves unresponsive or inappropriate conduct in the face of rape victims (Campbell & Raja, 1999; Gekoski et al., 2013), including blaming the victims, minimising their suffering, and avoiding helping them (Tavares et al., 2023). Minimising the severity of the victim’s suffering, as it is considered not so hurtful, as well as blaming the victim for this experience, might therefore be linked with avoiding providing them with support (Tavares et al., 2023). Secondary victimization may be adopted in the community but also by professionals in the justice system, which might include inappropriate questions (e.g., about clothing) or minimising the seriousness of the sexually abusive experience (Campbell & Raja, 2005; Campbell et al., 2001). Unresponsive professional practices, particularly in the health and justice sectors (Campbell & Raja, 1999), might be associated with victims’ perspective of this intervention as more painful than helpful (Campbell et al., 2001). Moreover, these practices are associated with victims’ perceptions that their experience is devalued and socially legitimised; conversely, when professionals do not blame the victims, victims feel supported and believable (Paterson, 2011). For these reasons, secondary victimization is serious, as it might negatively impact victims’ well-being, intensify their suffering and guilt, and undermine the effectiveness of the justice system (Campbell & Raja, 1999). Consequently, victims may feel dissuaded from seeking help or formalising complaints (Preda, 2023).

Therefore, it is important to develop or adapt valid and reliable measures of secondary victimization to facilitate large-scale and cross-cultural studies. Secondary victimization seems to be present in different countries and contexts worldwide. Evidence from Western countries (Campbell & Raja, 2005; Campbell et al., 2001) and non-Western countries, such as Pakistan, Nigeria, and Ghana, supports blaming the victim processes in the face of a sexual assault (Fakunmoju et al., 2019; Kazmi & Rauf, 2024). These findings suggest that traditional and patriarchal norms seem to prevail, including in samples of professionals working with victims (Boakye, 2009). Patriarchal culture might then lead to underestimating and minimising sexually abusive experiences (Boakye, 2009; Fakunmoju et al., 2019). Moreover, oppressive laws and norms (including religious) seem to objectify women’s bodies, which in turn might heighten their risk of sexual violence (Fakunmoju et al., 2019).

Adherence to traditional gender norms and patriarchal beliefs calls for a further understanding of secondary victimization in light of feminist and sociocultural theories. According to these theoretical perspectives, sexual violence is socially viewed as an individual ‘choice’ and therefore a ‘deserved’ experience, which might favour a culture of shame and stigma toward victims (Correia, 2000; Dworkin & Weaver, 2021). Secondary victimization is a manifestation of the social and cultural structures that sustain gender inequality, rooted in male dominance and female subordination (Davies, 2018). Accordingly, gender inequality and patriarchal beliefs also steer the endorsement of myths about sexual violence (e.g., “They provoke it”; “They say no but they mean yes”), which in turn seems to be associated with greater secondary victimization, stigmatization and blaming of women, and whitewashing the responsibility of offenders (Boakye, 2009; Davies, 2018; Fakunmoju et al., 2019).

For all these reasons, it is important to identify predictors of secondary victimization to inform the design of evidence-based interventions and the prevention of these behaviours. In fact, there is evidence suggesting a lack of knowledge and training among service providers working with victims of sexual violence in Western and non-Western countries (e.g., Ahrens, 2006; Jina et al., 2013), which requires further efforts from researchers and practitioners. The lack of sound scientific knowledge prevents policymakers and practitioners from implementing effective anti-violence and pro-victim programs (Balezina & Zakharova, 2024).

Individual Differences on Secondary Victimization

Secondary victimization behaviours can be shaped by individual attributes (such as personality or empathy) and attitudes (such as beliefs about sexual violence or social dominance orientation). Specifically, personality traits are critical drivers of behaviour and human tendencies (Höfker, 2020), and the Big Five factors are widely recognised as critical personality traits that influence human behaviours (i.e., Openness to Experience, Neuroticism, Agreeableness, Extraversion, and Conscientiousness) (Costa & McCrae, 1992; Costa Jr. & McCrae, 2008; Magalhães et al., 2014; McCrae et al., 2005). Empathy refers to an individual’s capacity to understand another person’s emotions and perspectives (Graça et al. 2018; Magalhães et al. 2022), which is also important for understanding individual differences in interpersonal and intergroup relationships. Both personality and empathy have been explored in the literature on prejudice. Greater empathy is associated with a reduction in stereotypes (Galinsky & Moskowitz, 2000; Todd et al., 2011) and prejudice (Shih et al., 2013) in different groups (e.g., gays and ethnic minorities; Bruneau et al., 2017; Burke et al., 2015) and higher levels of Agreeableness and Openness to Experience are associated with lower levels of prejudice (Ekehammar & Akrami, 2003, 2007; Sibley & Duckitt, 2008). People who are able to be compassionate or kind and take another perspective may feel greater compassion which enhances tolerance and openness to diverse groups and members (Batson et al., 1997; Gerson & Neilson, 2014). As such, these individual attributes may also be associated with secondary victimization in the context of sexual violence. Agreeable and empathetic individuals tend to be better able to adopt the victims’ perspective and understand their experiences. Empathy is essential for lessening victim blaming (e.g., Stel et al., 2012), as a higher capacity to take the victim’s perspective might inhibit secondary victimization behaviours, such as victim blaming (Mendonça et al., 2016). In contrast, high negative affectivity may be associated with the over-endorsement of distressful items related to secondary victimization (Campbell & Raja, 2005).

Furthermore, secondary victimization may be shaped by individuals’ beliefs, such as their beliefs about sexual violence or social dominance. Specifically, inappropriate beliefs about sexual violence serve to legitimise aggression and violence (Chim et al., 2020; Tavares et al., 2023; Yapp & Quayle, 2018). Several rape myths, such as attributing responsibility to women or excusing women, are positively associated with secondary victimization behaviours, such as victim blaming or victim avoidance (Tavares et al., 2023). In addition, social dominance orientation involves individuals’ beliefs that support hierarchical intergroup relations, which is associated with greater victim blaming, denial of abusiveness, lower perceptions of assault seriousness in cases of sexual abuse, and lower victim credibility and perpetrator culpability (Magalhães et al., 2022). These hierarchical relations legitimise shared social myths and ideologies (Pratto et al. 2006) which in turn sustain inequality (Ho et al., 2015). As such, individuals who are highly oriented toward social dominance might favour discrimination and prejudice, while those who score low on social dominance might favour fairness and equality (Bäckström & Björklund, 2007; Sidanius & Pratto, 1999). Therefore, individuals oriented towards social dominance, when confronted with a particularly vulnerable group such as victims of sexual violence, may position themselves less favourably towards the group perceived as inferior or helpless.

Framed on these scientific insights, this study’s aims are twofold: (1) to provide further evidence of the validity and reliability of the Secondary Victimization Scale (SVS) (Tavares et al., 2023) and (2) to test the mediating role of empathy in the relationship between personality and secondary victimization. Thus, we hypothesised that H1) the three-dimensional factorial model of the Secondary Victimization Scale fits the data with a Portuguese sample; H2) secondary victimization is positively associated with beliefs about sexual violence and social dominance; and H3) personality traits related to agreeableness are negatively associated with secondary victimization through the mediating role of empathy. In other words, agreeable people tend to show higher empathy scores, which in turn are associated with a lower endorsement of secondary victimization.

Method

Participants

A non-probabilistic sample of 285 Portuguese adults (aged 18-75 years old, M = 28.23, SD = 12.19) participated in this study. This sample was composed mostly of females (86%), and 13% were male and 1.1% non-binary/prefer not to respond. Regarding marital status, 47% were single, 35.8% were married, 15.1% were divorced, and 2.1% were widowed. Most of these participants completed a university degree (37.2% a bachelor’s degree, 27.4% a master’s degree, and 1.4% a PhD), followed by high school (27.4%) and middle school (4.2%). Most of them (89.8%) did not work with victims of violence (children or adults), while 4.6% were professionals working in the justice system and 5.6% in the child-protection system. Most participants knew or had known a victim of sexual violence in adulthood or childhood (67%), and 27.7% had been victims of a sexually abusive experience in childhood or adulthood.

Instruments

Sociodemographic Questionnaire

A set of demographics was assessed to characterise the participants, including age, gender, marital status, education, and contact with victims of sexual violence.

Secondary Victimization Scale

The Secondary Victimization Scale (SVS) was developed to assess three of the most prominent manifestations of secondary victimization: blaming the victim, avoiding the victim, and minimising the victim’s suffering (Tavares et al., 2023). It was developed in four phases and studies. In the first study, scale items were developed and subjected to analysis and confirmation of content validity. This process involved evaluation by experts in the field and a pilot study with a representative sample of the target population. In the second study, an exploratory analysis of the scale’s factor structure was carried out with the aim of checking whether the items loaded on factors representing victim blaming, victim suffering, and victim avoidance. In the third study, several alternative measurement models were tested and confirmed to validate the scale’s three-factor structure using confirmatory factor analysis. The fourth study focused on analysing the predictive validity of the SVS (Tavares et al., 2023).

In this study the SVS was adapted from Brazilian Portuguese to the Portuguese of Portugal (Table 1) and consists of nine items presented after the following scenario of sexual violence: “A 21-year-old female student went to the police to file a complaint that her boyfriend raped her. She says the incident occurred at a hotel where they had spent the weekend. The student’s boyfriend denied the incident when questioned by the police. He claimed that he had no reason to force his girlfriend to have sex” (as in Tavares et al., 2023). The items assess three dimensions: blaming the victim, avoiding the victim, and minimising the victim’s suffering. Participants responded by indicating their degree of agreement with each item using a scale ranging from 1 (totally disagree) to 5 (totally agree). The original scale revealed satisfactory values of internal consistency: victim blaming (α = .82), victim avoidance (α = .83), and minimising of suffering (α = .83) (Tavares et al., 2023).

Table 1

Items of the Secondary Victimization Scale

Beliefs about Sexual Violence Scale

The Beliefs about Sexual Violence Scale (Martins et al., 2012) assesses the tolerance and acceptance of sexual violence, including 30 items distributed in five dimensions: stereotyped representations (e.g., “If a person didn’t physically resist, we cannot say that this person was a victim of sexual aggression”), victims’ provocation (e.g., “If someone is raped when drunk or under the effect of other drugs, this person has part of the blame”), victims’ consent (e.g., “Some persons have sexual pleasure when are raped”), false notion of personal invulnerability (e.g., “Most of the perpetrators are unfamiliar with the victim”), and false allegations (e.g., “Most of the rape allegations are made up after the partners express their desire of finishing the relationship”). The respondents were asked to indicate their degree of agreement on a 5-point scale, ranging from 1 (totally disagree) to 5 (totally agree). Internal consistency for the original study (α = .91) (Martins et al., 2012) and our sample was excellent (α = .92).

Short Social Dominance Orientation Scale

The Short Social Dominance Orientation Scale (Magalhães et al., 2022; Pratto et al., 2013) is composed of four items measuring the acceptance of group-based hierarchies and support for social inequality (e.g., “Superior groups should dominate inferior groups”), asking participants to answer their degree of agreement on a 7-point scale, between 1 (totally disagree) and 7 (totally agree). Although the scale revealed questionable internal consistency in our sample (α = .57), the inter-item correlation (.22) was within the recommended range of .15-.50 (Clark & Watson, 2019).

NEO-FFI-20

NEO-FFI-20 (Bertoquini & Pais-Ribeiro, 2006), a short form of the NEO-PI-R, was used to measure the five domains of personality: Neuroticism, Extroversion, Openness to experience, Agreeableness, and Conscientiousness. The measure consists of 20 items, and participants indicate their degree of agreement on a 5-point scale, ranging from 1 (totally disagree) to 5 (totally agree). In this study, all the domains revealed adequate values of internal consistency: Neuroticism (α = .72), Extroversion (α = .67), Openness to experience (α = .78), Agreeableness (α = .72), and Conscientiousness (α = .76).

Empathy Scale

Empathy was measured using three items (“I sympathize with others’ feelings”, “I am not interested in other people’ problems” (reversed), and “I feel others’ emotions”), to which participants indicated their degree of agreement on a 7-point scale, ranging from 1 (totally disagree) to 7 (totally agree) (Magalhães et al., 2022; Milfont & Sibley, 2016). The internal consistency of the scale was acceptable in the present study (α = .67), and the inter-item correlation (.42) was within the recommended range of .15-.50 (Clark & Watson, 2019).

Procedures of Data Collection and Analyses

This study was approved by the Ethics Committee of of the Lusóphona University, Centro Universitário de Lisboa, Portugal. A non-random sample of adults was invited to participate in this study. Data were collected online through Qualtrics, targeting Portuguese adults aged over 18 years. The link was disseminated on social media (e.g., using Facebook advertisements), no financial incentives were provided, and participants completed the questionnaires only after providing informed consent. Participants were informed about the confidential nature of the study and the possibility of discontinuing their participation at any time without consequences. Given the sensitive topics that could cause participants’ distress, a debriefing was provided at the end of the protocol, providing contact information for the national psychological support line and the researchers’ contacts.

To test the first hypothesis, confirmatory factor analysis using maximum likelihood estimation was performed to check the original three-dimensional model (Tavares et al., 2022) using IBM AMOS for Windows (Version 29.0). Similar to the original version, model fit was assessed in the current study considering the following criteria: CFI ≥ .95, TLI ≥ .90, RMSEA < .08, and SRMR < .10 (Byrne, 2010). Validity evidence based on relations to other variables was tested using Pearson’s correlation between secondary victimization, beliefs about sexual violence, and social dominance orientation (H2). Finally, the third hypothesis was tested using a path analysis model with IBM AMOS for Windows (version 29.0). Some items were reversed so that higher levels on the three scales indicate more secondary victimization. A bootstrap approach (with 95% confidence intervals generated with bias-corrected bootstrapping (5,000 resamples)) was applied to test the significance of the indirect effects (Shrout & Bolger, 2002).

Results

Psychometric Evidence of the Secondary Victimization Scale

The original three-dimensional CFA produced good fit indices: χ2(24) = 72.651, p < .001, CFI = .97, TLI = .96, RMSEA = .084, 95% CI [.063, .107], SRMR = .042. All standardised regression weights were higher than .60 in each dimension (Figure 1), and the reliability analysis revealed adequate values of Cronbach’s alpha for the three dimensions: Minimising of Suffering (α = .867), Victim Blaming (α = .885), and Victim Avoidance (α = .851).

Figure 1

Confirmatory Factor Analysis of the Original Three-Dimensional Model.

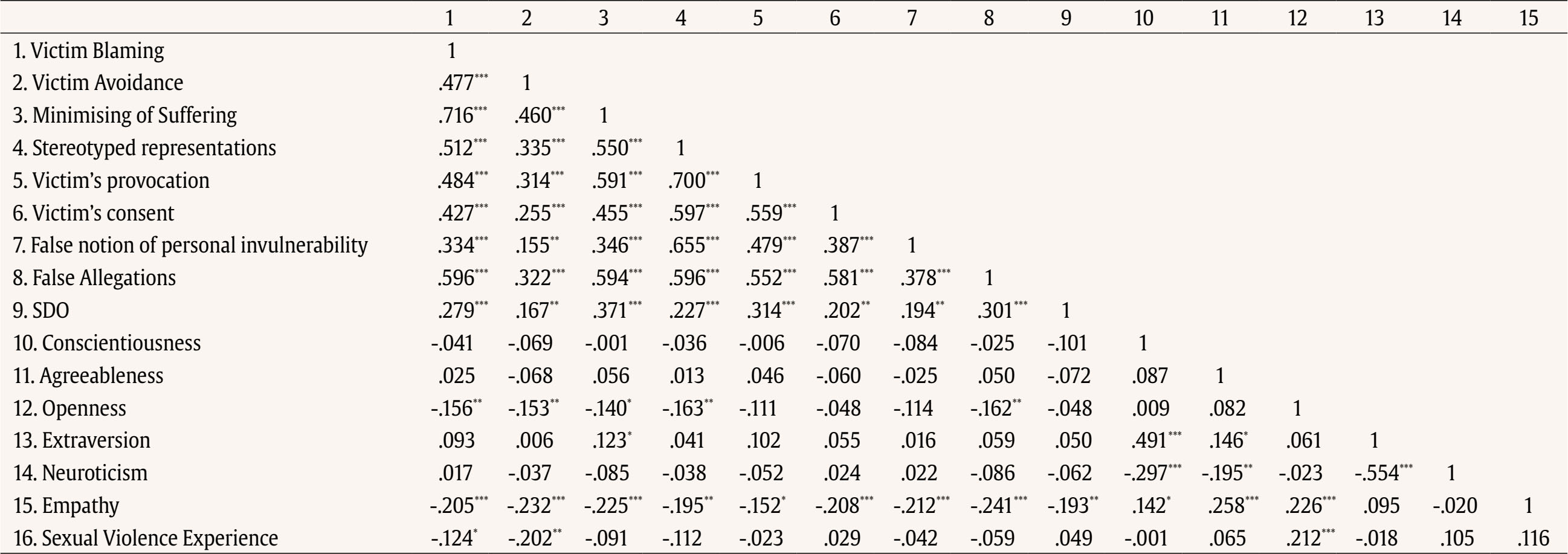
The validity evidence based on relations to other variables revealed statistically significant positive associations between the three dimensions of secondary victimization (Victim Blaming, Victim Avoidance, and Minimising of Suffering) and all dimensions of beliefs about sexual violence (Stereotyped Representations, Victim’s Provocation, Victim’s Consent, False Notion of Personal Invulnerability, and False Allegations). Statistically significant positive associations were found between the three dimensions of secondary victimization and social dominance orientation (Table 2).

Table 2

Associations between Study Variables

Note. Sexual violence experience: 0 = no, 1 = yes.

**p < .01, ***p < .001.

The Mediating Role of Empathy in the Relationship Between Personality and Secondary Victimization

The mediating model was tested by controlling for participants’ experience of sexual violence during adulthood, as it was correlated with the two dimensions of secondary victimization (Table 2). As shown in Figure 2, there were significant positive effects of Extroversion on Victim Blaming and Minimizing of Suffering, but the indirect effects were not significant. Furthermore, results revealed significant mediating effects of Openness to Experience on Victim Blaming (b = -.041, SE = .019, p < .01, 95% CI [-.081, -.017]) and Minimizing of Suffering (b = -.049, SE = .023, p < .001, 95% CI [-.094, -.019]).

Figure 2

The Mediating Role of Empathy in the Relationship Between Personality and Secondary Victimization.

Note. Estimates in brackets are standardized direct effects. *p < .05, **p < .01, ***p < .001.

The results also revealed significant indirect effects (without significant total effects) of (1) Agreeableness on Victim Blaming (b = -.049, SE = .021, p <.01, 95% CI –[.090, -.021]), Victim Avoidance (b = -.047, SE = .024, p < .05, 95% CI [-.090, -.014]) and Minimising of Suffering (b =-.057, SE = .022, p <.01, 95% CI [-.098, -.028]), and (2) Openness to Experience on Victim Avoidance (b = -.039, SE = .018, p < .01, 95% CI [-.077, -.016]). In other words, higher levels of agreeableness and openness to experience were associated with higher levels of empathy, which, in turn, was associated with lower secondary victimization.

Discussion

This study aimed to provide evidence for the validity and reliability of the SVS in the Portuguese context and to provide new insights into the mediating role of empathy in the relationship between personality and secondary victimization. Our findings support the first hypothesis, as the CFA sustained the original three-dimensional structure: Minimising of Suffering, Victim Blaming, and Victim Avoidance (Tavares et al., 2023). Moreover, reliability evidence was achieved, as we found appropriate values of Cronbach’s alpha for the three dimensions (from .85 to .89), which were greater than those obtained with the original version (from .82 to .83) (Tavares et al., 2023).

Furthermore, our findings support the second hypothesis. The validity evidence based on relations to other variables confirms the trustworthiness of the SVS to be used in the Portuguese context, given that the three factors of secondary victimization positively correlated with all dimensions of beliefs about sexual violence (i.e., stereotyped representations, victims’ provocation, victims’ consent, false notion of personal invulnerability, and false allegations) and the social dominance orientation. This finding indicates that participants scoring high on secondary victimization also seem to endorse a set of beliefs that legitimise or minimise sexual violence due to stereotyped representations and the victim’s behaviour (e.g., perceiving victims’ behaviour as provocative or sexualised) or even perceptions that the victim has provided her consent. Moreover, when participants perceived sexual violence as involving false allegations, they tended to score higher on the secondary victimization dimensions. These results indicate that participants who endorse more inaccurate beliefs about sexual violence also tend to minimise their suffering, blame them more for this abusive event, and evade providing them with the help they might need. As such, universal prevention efforts are needed, focusing on these inaccurate beliefs that legitimise and validate sexual abuse experiences (Chim et al., 2020; Magalhães et al., 2022). It is critical to further invest in these preventive initiatives because the endorsement of these beliefs might be associated with fewer attempts to help victims, which in turn might enhance the negative impact of sexual violence on victims psychological functioning.

Moreover, scoring higher on social dominance was associated with more secondary victimization, which means that participants reporting greater endorsement of hierarchical and non-egalitarian intergroup relations (Pratto et al., 1994) tended to be less prone to value victims’ suffering, blame them more, and provide them with less help in cases of sexual violence. This is theoretically plausible because people who endorse more hierarchical relations might display more negative attitudes toward vulnerable groups (Bäckström & Björklun, 2007; Magalhães et al., 2022; Sidanius & Pratto, 1999). Taken together, these findings suggest that the SVS is trustworthy and effective for use in the Portuguese context, thus enabling a better comprehension of secondary victimization in Portugal and the implementation of cross-cultural studies.

In addition to the SVS psychometric evidence, this study aimed to explore the indirect effects of empathy on the relationship between personality and secondary victimization. Specifically, our third hypothesis was partially confirmed, as indirect effects (but not mediating effects) of empathy were found in the relationship between agreeableness and the three dimensions of secondary victimization. This means that, although higher levels of agreeableness are not directly associated with less secondary victimization, there is an indirect effect of empathy. This result suggests that it is not the agreeableness trait per se that is associated with lower levels of secondary victimization, but rather that people revealing greater compassion and kindness are more prone to be empathetic and, to a lesser extent, minimise victims’ suffering, blame the victim, or avoid them. This finding has a few theoretical and methodological implications. Specifically, indirect effects may arise without significant total effects when various indirect effects emerge in the same model, as they might counteract each other, and total effects may be lost. This finding suggests that multiple outcomes may be impacted by the same factor (multifinality) and different factors may impact the same outcome (equifinality) (Hinnant et al., 2021), especially through indirect effects. Considering that we employed a cross-sectional study, further longitudinal designs are required to test these assumptions and capture the direction of each effect. Moreover, this finding suggests that competing mechanisms and moderators should be accounted for in further models testing these relationships.

Additionally, significant mediating effects were found on the relationship between openness to experience and victim blaming and minimising suffering, but only indirect effects were found on the relationship between openness and victim avoidance. This means that participants highly open to diverse experiences tend to blame the victim less, as well as to minimise less their suffering. In addition, we found that people who scored higher on openness to experience also showed superior empathy and, therefore, lower secondary victimization. People highly open to novel experiences tend to assume tolerant and non-conformist positions toward others and are emotionally sensitive (Costa & McCrae, 1992; Costa Jr. & McCrae, 2008), which could be associated with their greater ability to acknowledge the suffering of victims and blame them less.Finally, greater extroversion was associated with more secondary victimization, specifically in terms of victim blaming and minimising suffering. This result suggests that, although openness to experience, agreeableness, and extroversion involve aspects related to social relationships, they seem to be related to secondary victimization behaviours in different ways. While openness to experience and agreeableness involve a behavioural tendency to care about others, respect, and tolerate individual differences, extroversion involves a behavioural tendency to be more focused on seeking intense interpersonal interactions, higher levels of social activity, and the need for stimulation (Costa Jr. & McCrae, 2008; McCrae et al., 2005). For this reason, participants who scored higher on extroversion may be less able to be compassionate and fully understand the victims’ suffering.

Despite the innovative findings of this study, it has several limitations. First, this was a cross-sectional study; therefore, causal relationships could not be inferred from the results. Second, an online convenience sample was recruited, meaning that our findings should be interpreted cautiously. The non-probabilistic nature of the sampling procedure might undermine external validity and generalisability. This is particularly critical as our sample is gender unbalanced (i.e., female participants representing more than 80%), which prevents us from exploring the gender role in our analysis, given the small number of non-female participants. Further research efforts using gender-balanced samples are needed, as there is evidence highlighting gender differences in these processes of blaming victims. Specifically, men tend to blame the victim of sexual abuse more and ascribe less blame to the perpetrator than women do, partly due to their greater orientation toward social dominance and lower empathic tendencies (Magalhães et al., 2022). The patriarchal culture associated with minimising violence, together with adherence to traditional gender norms, calls for a further understanding of secondary victimization in light of gender-based, cross-cultural and systemic approaches. In addition, the sample was socially unbalanced, with most of the participants being highly educated, which could bias our results given the potential effect of socioeconomic status on beliefs and attitudes about violence (e.g., Zizumbo-Colunga, 2020). As such, broader longitudinal studies are required using more diverse, representative, and larger samples. Moreover, the results are prone to social desirability bias given the self-report nature of the measures and the sensitive issues assessed. Future studies should include a social desirability measure (Lanz et al., 2022) or implicit measures (Maimone et al., 2024) to disentangle the potential effects of social desirability bias.

Finally, Cronbach’s alpha values for the empathy and social dominance dimensions were low in the current study, which might be due to their small number of items. However, considering that the average inter-item correlation for each scale was greater than .15, their internal consistency could be considered appropriate (Clark & Watson, 2019). Specifically, the empathy construct was measured using only three items, which might provide a limited view of the empathic disposition of our participants. However, this three-item scale portrays the cognitive and emotional components of this construct and simultaneously prevents our participants from filling in lengthy surveys. Further research should focus on this concept.

In sum, the current study highlights that secondary victimization in sexual violence circumstances might be affected by individual characteristics, which might be shaped by the sociocultural context. Broader social interventions are needed to reduce bias, stereotypes, and social norms that underpin prejudice and perpetuate social inequalities. This might be achieved by fostering empathy and compassion towards vulnerable groups, such as victims of sexual violence. Sociocultural factors should be addressed, as they are critical in explaining victim blaming and secondary victimization processes (Xue et al., 2016). Social and gender-based norms or patriarchal beliefs seem to frame these processes (Boakye, 2009; Fakunmoju et al., 2019; Gravelin et al., 2019). From a systemic perspective, victim blaming processes are hardened by the intersection of practices and behaviours in different systems in society (e.g., institutions, family, etc.), which might deny and justify sexual violence (Murray et al., 2023; Ståhl et al., 2010). As such, raising social awareness about sexual violence is critical to protect victims and prevent secondary victimization in different systems, including implementing effective training opportunities targeting professionals who work with victims. Specifically, in forensic and judicial contexts, providing ongoing training and supervision is critical to fostering professionals’ practices that might protect victims of sexual violence instead of enhancing their vulnerability. Empirically based assessment and intervention practices are required in these contexts, including non-judgmental and supportive behaviours that safeguard victims’ effective rights (e.g., establishing relationships based on empathy, respect, and autonomy, and conducting fact-based, nonjudgmental, and unbiased questioning). Finally, formal and informal supportive contexts might provide a secure context for victims’ disclosure, fostering their ability to search for help, which, in turn, may positively impact their adaptation and recovery.

Conflict of Interest

The authors of this article declare no conflict of interest.

This article is part of the monographic section “Gender Violence”.

Cite this article as: Magalhães, E., Leite, A., Almeida, J., Antunes, C., & Camilo, C. (2026). Secondary victimization following sexual violence: The role of personality and empathy. Anuario de Psicología Jurídica, 36, Article e260478, 1-8. https://doi.org/10.5093/apj2026a11

References

Cite this article as: Magalhães, E., Leite, A., Almeida, J., Antunes, C., & Camilo, C. (2026). Secondary Victimization Following Sexual Violence: The Role of Personality and Empathy. Anuario de Psicología Jurídica, 36, Article e260478. https://doi.org/10.5093/apj2026a11

Correspondence: eunice_magalhaes@iscte-iul.pt (E. Magalhães).

Copyright © 2026. Colegio Oficial de la Psicología de Madrid

© Copyright 2026. Colegio Oficial de la Psicología de Madrid ContactoPolítica de privacidadPolítica de cookies

Utilizamos cookies propias y de terceros para mejorar nuestros servicios y conocer sus preferencias mediante el análisis de sus hábitos de navegación. Si continua navegando, consideramos que acepta su uso. Puede acceder a política de cookies para obtener más información.

Aceptar